Previous ToC Up Next

Integrators on the Menu

The Leapfrog Method

Bob: It will be easy to show you what I have done, in order to implement the leapfrog. My first attempt was to code it up in the same way as we did for the forward Euler scheme. Remember how we did that? In order to take one forward Euler step, we used the following method:

   def evolve_step(dt)
     r2 = @pos*@pos
     r3 = r2*sqrt(r2)
     acc = @pos*(-@mass/r3)
     @pos += @vel*dt
     @vel += acc*dt
   end

Switching to the leapfrog, I wrote:

   def evolve_step(dt)
     r2 = @pos*@pos
     r3 = r2*sqrt(r2)
     acc = @pos*(-@mass/r3)
     @vel += acc*0.5*dt
     @pos += @vel*dt
     r2 = @pos*@pos
     r3 = r2*sqrt(r2)
     acc = @pos*(-@mass/r3)
     @vel += acc*0.5*dt
   end

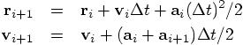
Alice: I presume you used the second set of equations which you wrote before:

Bob: Yes, they are much more convenient; the first set defined the velocities at half-step times, but here everything is defined at the same time: positions, velocities, and accelerations.

Alice: Why did you not start by implementing the first equation first?

Bob: If I would step forward the position first, I would not be able to obtain the acceleration that is needed for the second equation, since the acceleration at time i can only be obtained from the position at time i. Therefore, the first thing to do is to obtain . Only then can I step forward the position, in order to calculate . However, before doing that, I’d better use the old acceleration , since another acceleration call that would calculate would overwrite .

Two Different Versions

Alice: Can you summarize that in a list of steps?

Bob: Here is my recipe:

So the `leap’ part of the frog shows itself in this half step business for the velocity.

Alice: Ah, I see now. You really had to add to the position in the third of your five steps. But since you had already updated the velocity from to effectively , you could abbreviate the position update. You just added to the position instead. Clever!

The only drawback of writing it in such a compact and smart way is that the correspondence between the equations is not immediately clear, when you look at the code.

Bob: You could call it FORMula TRANslating with an optimizer.

Alice: You may want to write a version where you switch off your clever optimizer. Let’s see whether we can translate your equations more directly:

   def evolve_step(dt)
     r2 = @pos*@pos
     r3 = r2*sqrt(r2)
     old_acc = @pos*(-@mass/r3)
     @pos += @vel*dt + old_acc*0.5*dt*dt
     r2 = @pos*@pos
     r3 = r2*sqrt(r2)
     new_acc = @pos*(-@mass/r3)
     @vel += (old_acc + new_acc)*0.5*dt
   end

Hey, it is even one line shorter than what you wrote!

Bob: But it introduces an extra variable, so there is a trade off. Yes, that would be fine as well. It depends what you find most elegant.

In fact, note that none of these methods are very efficient. At the beginning of the next step, we will calculate the old acceleration, which is the same as what was called the new acceleration in the previous step. So while we are stepping along, we do every acceleration calculation twice, in your version as well as in mine. I was thinking about avoiding that redundancy, but I realized that that would make the code less clear. And as long as we are integrating only two bodies, there is really no need to optimize at this point.

Alice: That reminds me of Alan Perlis’ saying: ``premature optimization is the root of all evil’’.

Bob: He has a point. But postponing optimization too long will never grow fruit.

Alice: Did you just make that up?

Bob: I just thought about balancing roots and fruits, as a warning against too much abstraction, modularity, cleanliness, and all that stands in the way of optimized code. But for now, as long as we are still working on a toy project, I really don’t mind.

Tidying Up

Alice: You have told us how you wrote your first leapfrog version of evolve_step; and now I can see what you did in the much more condensed version in your code:


   def leapfrog(dt)
     @vel += acc*0.5*dt
     @pos += @vel*dt
     @vel += acc*0.5*dt
   end

Instead of repeating the three line calculation of the acceleration twice you put in into a method instead:


   def acc
     r2 = @pos*@pos
     r3 = r2*sqrt(r2)
     @pos*(-@mass/r3)
   end

Another nice example of a method without parameters, like the ekin and epot that we saw before.

Bob: I know you would like that. I’m curious, how would your version of the leapfrog look, in this notation? You start by introducing variables old_acc and new_acc, so that must then become:

  def leapfrog(dt)
    old_acc = acc
    @pos += @vel*dt + old_acc*0.5*dt*dt
    new_acc = acc
    @vel += (old_acc + new_acc)*0.5*dt
  end

So there: one line longer than my version, and with longer lines to boot.

Alice: That is interesting, isn’t it? At first I really preferred my version, both because it was shorter and because it remained closer to the mathematical formulae that you had written down. But I must admit that I like the way you encapsulated — dear I say modularized — the acceleration into a separate method. And now suddenly my version looks a bit clumsy and lengthy.

Bob: But I’m glad we’re going over the code so carefully together. I wouldn’t have thought about your way of writing the leapfrog, and it is nice to try different variations, in order to see which one you like best.

A Subtle Bug

Alice: So I agree: we’ll stick with yours. And your forward Euler now also looks very short.


   def forward(dt)
     old_acc = acc
     @pos += @vel*dt
     @vel += old_acc*dt
   end

Bob: In fact, my first try was even one line shorter:

  def forward(dt)
    @pos += vel*dt
    @vel += acc*dt
  end

Alice: That looks beautifully symmetric. I see that you left out the @ sign at the right in front of vel; it doesn’t make a difference, since vel is a method returning @vel anyway, and this way the symmetry between the two lines comes out better.

I like this form! What is wrong with it? You‘re not the type of person who likes to add an extra line without a good reason!

Bob: It is totally wrong. But it took me quite a while to figure that out. Can you guess what is wrong?

Alice: It looks right to me. In fact, it is classic forward Euler. The position gets increased by the velocity times time step, and the velocity gets increased by the acceleration times time step. What can be wrong with that?

Bob: Let me give you a hint. You praised the symmetry of the two lines. But are they really symmetric?

Alice: Is that a trick question? In both lines literally all characters are the same, except that pos above is replaced by its derivative vel below, and vel above is also replaced by its derivative acc below.

Bob: And in both cases the left-hand side of the equation contains an instance variable, and the right-hand side contains a method . . .

Alice: Yes, I had already commented on that, praising you! The left hand side is symmetric, because the variable holding @vel is exactly of the same sort of thing as the variable holding @pos. How much further do you want to push me to spell everything out? Okay. The right hand side is symmetric, because the method acc . . .

Bob: You see! I can see from your face that you got it.

Alice: Well, now that is a subtle bug. What a beauty!

Bob: Yeah, I agree, I first felt rather stupid, but now that I see your reaction, I think that I may have stumble upon an interesting variation of stupidity.

Alice: I can’t wait to show this to the students, and let them figure it out.

Bob: In a class full of them, there may be a few that get it more quickly than we did.

Alice: So much the better, more power to them! What a tricky situation. So yes, thanks to your prodding I saw it all as in a flash. They two lines are not symmetric. In the first line, vel just reads out a stored value, while in the second line, acc computes a value on the fly. And it does so using the pos value at that time, a value that has just been changed prematurely in the previous line. So the velocity increment will be wrong! And what is worse, you can’t repair the damage by changing the order of the two lines:

  def forward(dt)
    @vel += acc*dt
    @pos += vel*dt
  end

In that case, the velocity gets updated correctly, with the acceleration based on the old @pos value, but now the position increment gets wrongly calculated, since it uses the new value for vel, while I should have used the old. A lose-lose situation, whatever order you give these two lines.

Bob: So I had to add a third line, introducing a temporary variable, old_acc, the acceleration at the beginning of the step.

Alice: I’m impressed that you found this bug at all.

Bob: Well, if you stare at something long enough, chances are that you stumble upon a moment of clarity.

Alice: But no guarantee. And even testing would not have revealed that bug, since the bug introduces a second-order error, and the error in a first-order method is second-order anyway. To be explicit, in the last version, the position increment would use a velocity value vel that would be off by an amount proportional to dt, so the product vel*dt would introduce an error in @pos that would be proportional to dt*dt. So the method would still be first-order accurate!

Bob: But it would no longer be a forward Euler method. Yes, it is tricky. It makes you wonder how many hidden bugs there are still lurking in even well-tested codes, let alone the many codes that are not-so-well tested . . .

Ordering an Integrator

Alice: Back to your two integrator methods. I very much like the idea of separating out the acceleration as a calculation that gets done in a separate method. But where is the magic that enables you to call the shots, when you call evolve? How does evolve know that a first argument of the string "forward" directs it to execute the method forward, and similarly that a first argument of the string "leapfrog" directs it to execute the method leapfrog?

Bob: That happens through the send method.

Alice: Another piece of Ruby magic, I take it. But how does it work? It seems too easy, though. You send the integration method on its way?

Bob: send is a method that comes with each object in Ruby. It is one of the general methods that each object inherits as soon as it is created. What send does is to call another method. send first reads the name of the other method from the string in its first argument, and then it passes its remaining arguments to the other method. So in our case send("leapfrog", dt), for example amounts to the same as giving the command leapfrog(dt) directly.

Alice: That’s really nice. Clearly, the designer of Ruby had a very good sense of what is needed to built a truly flexible language. What is his name?

Bob: Matsumoto. I don’t know much about him, but yes, he clearly knows how to create a clean yet powerful language.

Alice: I’d like to meet him someday. Does he live in Japan?

Bob: He does.

Alice: Well, there are many astronomy conferences in Japan, so I hope I’ll get a chance, some day. And if we really get to build a nice toy model in Ruby, he may enjoy playing with stars.

Bob: Now that you see how I have extended our Body class with a menu of integrators, would you like to see it all in action?

Alice: Sure. Let’s try the hard case again, for ten time units. That seemed to take forever with the forward Euler method. Let’s try it for a few time steps, both with forward Euler and with leapfrog.

A Comparison test

Bob: Okay. Let me first repeat forward Euler, for a couple choices. This was the largest time step for which we did not get an explosion:


 dt = 0.001            # time step
 dt_dia = 10           # diagnostics printing interval
 dt_out = 10           # output interval
 dt_end = 10           # duration of the integration
 method = "forward"    # integration method
 #method = "leapfrog"   # integration method


 |gravity> ruby integrator_driver1a.rb < euler.in
 dt = 0.001
 dt_dia = 10
 dt_out = 10
 dt_end = 10
 method = forward
 at time t = 0, after 0 steps :
   E_kin = 0.125 , E_pot =  -1 , E_tot = -0.875
              E_tot - E_init = 0
   (E_tot - E_init) / E_init =-0
 at time t = 10, after 10000 steps :
   E_kin = 0.0451 , E_pot =  -0.495 , E_tot = -0.45
              E_tot - E_init = 0.425
   (E_tot - E_init) / E_init =-0.486
   1.0000000000000000e+00
   2.0143551288236803e+00  1.6256533638564666e-01
  -1.5287552868811088e-01  2.5869644289548283e-01

Alice: That is a horrible error in the energy. But we have seen before that the positions get more accurate with a smaller time step, in such a way that the error in the position goes down linearly with the time step size. We can expect the energy error to scale in a similar way.

Bob: Here is the same run with a ten times smaller time step.


 |gravity> ruby integrator_driver1b.rb < euler.in
 dt = 1.0e-04
 dt_dia = 10
 dt_out = 10
 dt_end = 10
 method = forward
 at time t = 0, after 0 steps :
   E_kin = 0.125 , E_pot =  -1 , E_tot = -0.875
              E_tot - E_init = 0
   (E_tot - E_init) / E_init =-0
 at time t = 10, after 100000 steps :
   E_kin = 1.27 , E_pot =  -2.07 , E_tot = -0.8
              E_tot - E_init = 0.0749
   (E_tot - E_init) / E_init =-0.0856
   1.0000000000000000e+00
   2.9271673782679269e-01  3.8290774857970239e-01
  -1.5655189697698089e+00 -3.1395706386716327e-01

In fact, the energy went down by less than a factor ten, but that may well be because we have not yet reached the linear regime.

Alice: That is probably the reason. With errors this large, you cannot expect an asymptotic behavior.

Bob: We‘ll just have to take an even smaller time step. Here goes:


 |gravity> ruby integrator_driver1c.rb < euler.in
 dt = 1.0e-05
 dt_dia = 10
 dt_out = 10
 dt_end = 10
 method = forward
 at time t = 0, after 0 steps :
   E_kin = 0.125 , E_pot =  -1 , E_tot = -0.875
              E_tot - E_init = 0
   (E_tot - E_init) / E_init =-0
 at time t = 10, after 1000000 steps :
   E_kin = 0.693 , E_pot =  -1.56 , E_tot = -0.865
              E_tot - E_init = 0.0103
   (E_tot - E_init) / E_init =-0.0117
   1.0000000000000000e+00
   5.1997064263476844e-01 -3.7681799204170163e-01
   1.1712678714357090e+00  1.1470087974069308e-01

Alice: That is going in the right direction at least, creeping closer to a factor ten in decrease of the energy errors.

Bob: But creeping very slowly. Before I’ll be convinced, I want to see the time step shrinking by another factor of ten:


 |gravity> ruby integrator_driver1d.rb < euler.in
 dt = 1.0e-06
 dt_dia = 10
 dt_out = 10
 dt_end = 10
 method = forward
 at time t = 0, after 0 steps :
   E_kin = 0.125 , E_pot =  -1 , E_tot = -0.875
              E_tot - E_init = 0
   (E_tot - E_init) / E_init =-0
 at time t = 10, after 10000000 steps :
   E_kin = 0.566 , E_pot =  -1.44 , E_tot = -0.874
              E_tot - E_init = 0.00103
   (E_tot - E_init) / E_init =-0.00118
   1.0000000000000000e+00
   5.9216816556748519e-01 -3.6259219766731704e-01
   1.0441831294511545e+00  2.0515662908862703e-01

Alice: Ah, finally! Now we’re in the linear regime.

Bob: Meanwhile, I am really curious to see what the leapfrog method will give us. Let’s have a look:


 dt = 0.001           # time step
 dt_dia = 10          # diagnostics printing interval
 dt_out = 10          # output interval
 dt_end = 10          # duration of the integration
 #method = "forward"   # integration method
 method = "leapfrog"  # integration method


 |gravity> ruby integrator_driver1e.rb < euler.in
 dt = 0.001
 dt_dia = 10
 dt_out = 10
 dt_end = 10
 method = leapfrog
 at time t = 0, after 0 steps :
   E_kin = 0.125 , E_pot =  -1 , E_tot = -0.875
              E_tot - E_init = 0
   (E_tot - E_init) / E_init =-0
 at time t = 10, after 10000 steps :
   E_kin = 0.554 , E_pot =  -1.43 , E_tot = -0.875
              E_tot - E_init = 3.2e-07
   (E_tot - E_init) / E_init =-3.65e-07
   1.0000000000000000e+00
   5.9946121055215340e-01 -3.6090779482156415e-01
   1.0308896785838775e+00  2.1343145669114691e-01

Alice: Ah, much better. A thousand times longer time step, and yet an enormously better accuracy already! What will happen with a ten times smaller time step?

Scaling


 |gravity> ruby integrator_driver1f.rb < euler.in
 dt = 1.0e-04
 dt_dia = 10
 dt_out = 10
 dt_end = 10
 method = leapfrog
 at time t = 0, after 0 steps :
   E_kin = 0.125 , E_pot =  -1 , E_tot = -0.875
              E_tot - E_init = 0
   (E_tot - E_init) / E_init =-0
 at time t = 10, after 100000 steps :
   E_kin = 0.554 , E_pot =  -1.43 , E_tot = -0.875
              E_tot - E_init = 3.2e-09
   (E_tot - E_init) / E_init =-3.65e-09
   1.0000000000000000e+00
   5.9961599191051762e-01 -3.6063731614990768e-01
   1.0308077390676098e+00  2.1389066543649665e-01

Bob: A hundred times smaller error, as is appropriate for a second order method. What a relief, after the earlier slooooow convergence of forward Euler! Clearly leapfrog is a much much better integrator.

Alice: Yes, to get such a high accuracy would have taken forever with a forward Euler integrator. Congratulations, Bob!

Bob: Thanks, but don’t get too excited yet: note that the error in the position is quite a bit larger than the error in the energy. The difference between the positions in the last two runs is of the order of , while the next-to-last run already had an energy accuracy of a few time .

Alice: This must be an example of what we talked about, when we first discussed the limits of using energy conservation as a check. The leapfrog is an example of a symplectic integration scheme, one which has better built-in energy conservation. Clearly it conserves energy better than position.

Bob: But since it is a second order scheme, also the accuracy of the position should increase by a factor hundred when we decrease the time step by a factor ten. Let’s try and see.


 |gravity> ruby integrator_driver1g.rb < euler.in
 dt = 1.0e-05
 dt_dia = 10
 dt_out = 10
 dt_end = 10
 method = leapfrog
 at time t = 0, after 0 steps :
   E_kin = 0.125 , E_pot =  -1 , E_tot = -0.875
              E_tot - E_init = 0
   (E_tot - E_init) / E_init =-0
 at time t = 10, after 1000000 steps :
   E_kin = 0.554 , E_pot =  -1.43 , E_tot = -0.875
              E_tot - E_init = 3.21e-11
   (E_tot - E_init) / E_init =-3.66e-11
   1.0000000000000000e+00
   5.9961753925629424e-01 -3.6063461077225456e-01
   1.0308069185587891e+00  2.1389525780602489e-01

Alice: You are right. The difference between the x component of the position in the last two runs is , while the difference between the previous run and the run before that was . So the scheme really is second-order accurate. Still, it would be nice to try another second order integrator, one that does not have built-in energy conservation.

Bob: I’ll try to see what I can do, this evening. And who knows, I might even try my hand at a fourth-order integrator. But that will be it; we can’t go on testing the two-body problem forever. We have other work to do: finding a reasonable graphics package, for one thing.

Alice: Definitely. Okay, see you tomorrow!

Previous ToC Up Next