Previous ToC Up Next

Yoshida’s Algorithms

Recall Baker, Campbell and Hausdorff

Bob: Well, Alice, I tried my best to learn more about Yoshida’s algorithms.

Alice: Tell me!

Bob: The good news is: I learned a lot more, and I even managed to construct an eighth-order integrator, following his recipes. I also wrote a fourth-order version, which is a lot simpler, and easier to understand intuitively.

Alice: A lot of good news indeed. What’s the bad news?

Bob: I’m afraid I couldn’t really follow the theory behind his ideas, even though I was quite curious to see where these marvelous recipes came from.

I went back to the original article in which he presents his ideas, Construction of higher order symplectic integrators, by Haruo Yoshida, 1990, Phys. Lett. A 150, 262. The problem for me was that he starts off in the first paragraph talking about symplectic two-forms, whatever they may be, and then launches into a discussion of non-commutative operators, Poisson brackets, and so on. It all has to do with Lie groups, it seems, something I don’t know anything about.

To give you an idea, the first sentence in his section 3, basic formulas, starts with ``First we recall the Baker-Campbell-Hausdorff formula’’. But since I have never heard of this formula, I couldn’t even begin to recall it.

Alice: I remember the BCH formula! I came across it when I learned about path integrals in quantum field theory. It was an essential tool for composing propagators. And in Yoshida’s case, he is adding a series of leapfrog mappings together, in order to get one higher-order mapping. Yes, I can see the analogy. The flow of the evolution of a dynamical system can be modeled as driven by a Lie group, for which the Lie algebra is non-commutative. Now with the BCH formula . . .

Bob: Alright, I’m glad it makes sense to you, and maybe some day we can sit down and teach me the theory of Lie groups. But today, let’s continue our work toward getting an N-body simulation going. We haven’t gotten further than the 2-body problem yet. I’ll listen to the stories by Mr. Lie some other day, later.

Alice: I expect that these concepts will come in naturally when we start working on Kepler regularization, which is a problem we’ll have to face sooner or later, when we start working with the dynamics of a thousand point masses, and we encounter frequent close encounters in tight double stars.

Bob: There the trick seems to be to map the three-dimensional Kepler problem onto the four-dimensional harmonic oscillator. I’ve never heard any mention of Lie or the BCH formula in that context.

Alice: We‘ll see. I expect that when we have build a good laboratory, equipped with the right tools to do a detailed exploration, we will find new ways to treat perturbed motion in locally interacting small-N systems. I would be very surprised if those explorations wouldn’t get us naturally involved in symplectic methods and Lie group applications.

An Eighth-Order Integrator

Bob: We‘ll see indeed. At the end of Yoshida’s paper, at least his techniques get more understandable for me: he solves rather complicated algebraic equations in order to get the coefficients for various integration schemes. What I implemented for the six-th order integrator before turns out to be based on just one set of his coefficients, in what I called the d array, but there are two other sets as well, which seem to be equally good.

What is more, he gives no less than seven different sets of coefficient for his eighth-order scheme! I had no idea which of those seven to choose, so I just took the first one listed. Here is my implementation, in the file yo8body.rb


   def yo8(dt)
     d = [0.104242620869991e1, 0.182020630970714e1, 0.157739928123617e0,
          0.244002732616735e1, -0.716989419708120e-2, -0.244699182370524e1,
          -0.161582374150097e1, -0.17808286265894516e1]
     for i in 0..6 do leapfrog(dt*d[i]) end
     leapfrog(dt*d[7])
     for i in 0..6 do leapfrog(dt*d[6-i]) end
   end

For comparison, let me repeat a run from our sixth-order experimentation, with the same set of parameters. We saw earlier:


 |gravity> ruby integrator_driver3h.rb < euler.in
 dt = 0.1
 dt_dia = 0.5
 dt_out = 0.5
 dt_end = 0.5
 method = yo6
 at time t = 0, after 0 steps :
   E_kin = 0.125 , E_pot =  -1 , E_tot = -0.875
              E_tot - E_init = 0
   (E_tot - E_init) / E_init =-0
 at time t = 0.5, after 5 steps :
   E_kin = 0.232 , E_pot =  -1.11 , E_tot = -0.875
              E_tot - E_init = 9.08e-10
   (E_tot - E_init) / E_init =-1.04e-09
   1.0000000000000000e+00
   8.7155094516550113e-01  2.3875959971050609e-01
  -5.2842606676242798e-01  4.2892868844542126e-01

My new eighth-order method yo8 gives:


 |gravity> ruby integrator_driver3j.rb < euler.in
 dt = 0.1
 dt_dia = 0.5
 dt_out = 0.5
 dt_end = 0.5
 method = yo8
 at time t = 0, after 0 steps :
   E_kin = 0.125 , E_pot =  -1 , E_tot = -0.875
              E_tot - E_init = 0
   (E_tot - E_init) / E_init =-0
 at time t = 0.5, after 5 steps :
   E_kin = 0.232 , E_pot =  -1.11 , E_tot = -0.875
              E_tot - E_init = 4.2e-05
   (E_tot - E_init) / E_init =-4.8e-05
   1.0000000000000000e+00
   8.7156845267947847e-01  2.3879462060443227e-01
  -5.2848151560751322e-01  4.2888364744600843e-01

Significantly worse for the same time step than the sixth order case, but of course there no a priori reason for it to be better or worse for any particular choice of parameters. The point is that it should get rapidly better when we go to smaller time steps. And it does!

Here, let me make the time step somewhat smaller, and similarly the integration time, so that we still do five integration steps. With a little bit of luck, that will bring us in a regime where the error scaling will behave the way it should. This last error may still be too large to make meaningful comparisons


 |gravity> ruby integrator_driver3k.rb < euler.in
 dt = 0.04
 dt_dia = 0.2
 dt_out = 0.2
 dt_end = 0.2
 method = yo8
 at time t = 0, after 0 steps :
   E_kin = 0.125 , E_pot =  -1 , E_tot = -0.875
              E_tot - E_init = 0
   (E_tot - E_init) / E_init =-0
 at time t = 0.2, after 5 steps :
   E_kin = 0.14 , E_pot =  -1.02 , E_tot = -0.875
              E_tot - E_init = 7.5e-10
   (E_tot - E_init) / E_init =-8.58e-10
   1.0000000000000000e+00
   9.7991592001699501e-01  9.9325555445578834e-02
  -2.0168916703866913e-01  4.8980438183737618e-01

Seeing is Believing

Alice: How about halving the time step? That should make the error 256 times smaller, if the integrator is indeed eighth-order accurate.

Bob: Here you are:


 |gravity> ruby integrator_driver3l.rb < euler.in
 dt = 0.02
 dt_dia = 0.2
 dt_out = 0.2
 dt_end = 0.2
 method = yo8
 at time t = 0, after 0 steps :
   E_kin = 0.125 , E_pot =  -1 , E_tot = -0.875
              E_tot - E_init = 0
   (E_tot - E_init) / E_init =-0
 at time t = 0.2, after 10 steps :
   E_kin = 0.14 , E_pot =  -1.02 , E_tot = -0.875
              E_tot - E_init = 2.82e-12
   (E_tot - E_init) / E_init =-3.22e-12
   1.0000000000000000e+00
   9.7991591952094304e-01  9.9325554314944414e-02
  -2.0168916469198325e-01  4.8980438255589787e-01

Not bad, I would say. I can give you another factor two shrinkage in time step, before we run out of digits in machine accuracy:


 |gravity> ruby integrator_driver3m.rb < euler.in
 dt = 0.01
 dt_dia = 0.2
 dt_out = 0.2
 dt_end = 0.2
 method = yo8
 at time t = 0, after 0 steps :
   E_kin = 0.125 , E_pot =  -1 , E_tot = -0.875
              E_tot - E_init = 0
   (E_tot - E_init) / E_init =-0
 at time t = 0.2, after 20 steps :
   E_kin = 0.14 , E_pot =  -1.02 , E_tot = -0.875
              E_tot - E_init = 9.77e-15
   (E_tot - E_init) / E_init =-1.12e-14
   1.0000000000000000e+00
   9.7991591951908552e-01  9.9325554310707803e-02
  -2.0168916468313569e-01  4.8980438255859476e-01

Alice: Again close to a factor 256 better, as behooves a proper eighth-order integrator. Good! I believe the number 8 in yo8.

The Basic Idea

Bob: Now, even though I did not follow the abstract details of Yoshida’s paper, I did get the basic idea, I think. It helped to find his recipe for a fourth-order integrator. I implemented that one as well. Here it is:


   def yo4(dt)
     d = [1.351207191959657, -1.702414383919315]
     leapfrog(dt*d[0])
     leapfrog(dt*d[1])
     leapfrog(dt*d[0])
   end

Alice: Only three leapfrog calls this time.

Bob: Yes, the rule seems to be that a for an order Yoshida integrator, you need to combine leapfrog leaps to make one Yoshida leap, at least up to eighth-order, which is how far Yoshida’s paper went. You can check the numbers for : three leaps for the 4th-order scheme, seven for the sixth-order scheme, and fifteen for the 8th-order scheme.

Alice: Not only that, it even works for : a second-order integrator uses exactly one leapfrog, and a zeroth-order integrator by definition does not do anything, so it makes zero leaps.

Bob: You always like to generalize, don’t you! But you’re right, the expression works for alright.

Alice: And the fourth-order is indeed the first order for which the leaps of the leapfrog are composed into a larger dance.

Bob: Perhaps we should call Yoshida’s algorithm the leapdance scheme.

Alice: Or the dancefrog? Now, I would prefer the dancecat. you see, cats are more likely to dance than frogs do. And while a cat is trying to catch a frog, she may look like dancing while trying to follow the frog.

Bob: Do cats eat frogs? I thought they stuck to mammals and birds.

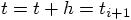
Alice: I’ve never seen a cat eating a frog, but I bet that they like to chase anything that moves; surely my cat does. Anyway, let’s make a picture of the fourth-order dance:

This is what your yo4 is doing, right? Starting at the bottom, at time , you jump forward a little further than the time step would ask you to do for a single leapfrog. Then you jump backward to such an extent that you have to jump forward again, over the same distance as you jumped originally, in order to reach the desired time at the end of the time step: .

Bob: Yes, this is precisely what happens. And the length of the first and the third time step can be calculated analytically, according to Yoshida, a result that he ascribes to an earlier paper by Neri, in 1988. In units of what you called , it is the expression in the first coefficient in the d array in yo4:

And since the three-leap dance has to land at a distance one into the future, in units of the time step, the middle leap backward has to have a length of:

Somehow, the third-order and fourth-order errors generated by each of the leaping frogs are canceled by this precise fine tuning of step lengths.

Testing the Wrong Scheme

Alice: That will be easy to check. How about choosing somewhat different values. Let’s take a round number, , which forces the other number to be . If there is a matter of fine tuning involved, these wrong values should give only second-order behavior, since a random combination of three second-order integrator steps should still scale as a second-order combination.

Bob: Good idea. Let me call the file yo8body_wrong.rb to make sure we later don’t get confused about which is which. I will leave the correct methods yo4, yo6, and yo8 all in the file yo8body.rb. Here is your suggestion for the wrong version:


   def yo4(dt)
     d = [1.351207191959657, -1.702414383919315]
     d = [1.5, -2]           # WRONG values, just for testing!
     leapfrog(dt*d[0])
     leapfrog(dt*d[1])
     leapfrog(dt*d[0])
   end

Let’s first take a previous run with the fourth-order Runge-Kutta rk4 method, to have a comparison run:


 |gravity> ruby integrator_driver2i.rb < euler.in
 dt = 0.1
 dt_dia = 0.1
 dt_out = 0.1
 dt_end = 0.1
 method = rk4
 at time t = 0, after 0 steps :
   E_kin = 0.125 , E_pot =  -1 , E_tot = -0.875
              E_tot - E_init = 0
   (E_tot - E_init) / E_init =-0
 at time t = 0.1, after 1 steps :
   E_kin = 0.129 , E_pot =  -1 , E_tot = -0.875
              E_tot - E_init = 1.75e-08
   (E_tot - E_init) / E_init =-2.01e-08
   1.0000000000000000e+00
   9.9499478923153439e-01  4.9916431937376750e-02
  -1.0020915515250550e-01  4.9748795077019681e-01

Here is our faulty yo4 result, for the same parameters:


 |gravity> ruby integrator_driver3n.rb < euler.in
 dt = 0.1
 dt_dia = 0.1
 dt_out = 0.1
 dt_end = 0.1
 method = yo4
 at time t = 0, after 0 steps :
   E_kin = 0.125 , E_pot =  -1 , E_tot = -0.875
              E_tot - E_init = 0
   (E_tot - E_init) / E_init =-0
 at time t = 0.1, after 1 steps :
   E_kin = 0.129 , E_pot =  -1 , E_tot = -0.875
              E_tot - E_init = -1.45e-05
   (E_tot - E_init) / E_init =1.66e-05
   1.0000000000000000e+00
   9.9498863274056060e-01  4.9808366540742943e-02
  -1.0007862035430568e-01  4.9750844492670115e-01

and here for a ten times smaller time step:


 |gravity> ruby integrator_driver3o.rb < euler.in
 dt = 0.01
 dt_dia = 0.1
 dt_out = 0.1
 dt_end = 0.1
 method = yo4
 at time t = 0, after 0 steps :
   E_kin = 0.125 , E_pot =  -1 , E_tot = -0.875
              E_tot - E_init = 0
   (E_tot - E_init) / E_init =-0
 at time t = 0.1, after 10 steps :
   E_kin = 0.129 , E_pot =  -1 , E_tot = -0.875
              E_tot - E_init = -1.48e-07
   (E_tot - E_init) / E_init =1.7e-07
   1.0000000000000000e+00
   9.9499471442505816e-01  4.9915380903880313e-02
  -1.0020772164145644e-01  4.9748816373440058e-01

Alice: And it is clearly second-order. We can safely conclude that a random choice of three leapfrog leaps doesn’t help us much. Now how about a well-orchestrated dance of three leaps, according to Neri’s algorithm?

Testing the Right Scheme

Bob: That should be better. Let’s make really sure I have the correct version back again:


   def yo4(dt)
     d = [1.351207191959657, -1.702414383919315]
     leapfrog(dt*d[0])
     leapfrog(dt*d[1])
     leapfrog(dt*d[0])
   end


 |gravity> ruby integrator_driver3p.rb < euler.in
 dt = 0.1
 dt_dia = 0.1
 dt_out = 0.1
 dt_end = 0.1
 method = yo4
 at time t = 0, after 0 steps :
   E_kin = 0.125 , E_pot =  -1 , E_tot = -0.875
              E_tot - E_init = 0
   (E_tot - E_init) / E_init =-0
 at time t = 0.1, after 1 steps :
   E_kin = 0.129 , E_pot =  -1 , E_tot = -0.875
              E_tot - E_init = 9.16e-08
   (E_tot - E_init) / E_init =-1.05e-07
   1.0000000000000000e+00
   9.9499490507620858e-01  4.9915249744859044e-02
  -1.0020899341473008e-01  4.9748801781965912e-01

Less accurate than the rk4 method, but the important thing is the scaling. Here goes, for a time step shorter by a factor of ten:


 |gravity> ruby integrator_driver3q.rb < euler.in
 dt = 0.01
 dt_dia = 0.1
 dt_out = 0.1
 dt_end = 0.1
 method = yo4
 at time t = 0, after 0 steps :
   E_kin = 0.125 , E_pot =  -1 , E_tot = -0.875
              E_tot - E_init = 0
   (E_tot - E_init) / E_init =-0
 at time t = 0.1, after 10 steps :
   E_kin = 0.129 , E_pot =  -1 , E_tot = -0.875
              E_tot - E_init = 9.16e-12
   (E_tot - E_init) / E_init =-1.05e-11
   1.0000000000000000e+00
   9.9499478010211795e-01  4.9916426099720732e-02
  -1.0020902859703379e-01  4.9748796006619145e-01

Perfect! Yoshida was right, once again.

Alice: Indeed, very nicely fourth order. Great!

Previous ToC Up Next