Previous ToC Up Next

A Two-Step Method

A Matter of Memory

Bob: So far we have used only one-step methods: in each case we start with the position and velocity at one point in time, in order to calculate the position and velocity at the next time step. The higher-order schemes jump around a bit, to in-between times in case of the traditional Runge-Kutta algorithms, or slightly before or beyond the one-step interval in case of Yoshida’s algorithms. But even so, all of our schemes have been self-starting.

As an alternative to jumping around, you can also remember the results from a few earlier steps. Fitting a polynomial to previous interaction calculations will allow you to calculate higher time derivatives for the orbit . . .

Alice: . . . wonderful! Applause!

Bob: Huh?

Alice: You said it just right, using both the term orbit and interaction correctly.

Bob: What did I say?

Alice: You made the correct distinction between the physical interactions on the right-hand side of the equations of motion, which we agreed to call the interaction side, and the mathematical description of the orbit characteristics on the left-hand side of the equations of motion, which we decided to call the orbit side.

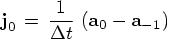
Bob: I guess your lessons were starting to sink in. In any case, let me put my equations where my mouth is, and let show the idea first for a second-order multi-step scheme, a two-step scheme in fact. We start with the orbit part, where we expand the acceleration in a Taylor series with just one extra term:

Alice: Our old friend, the jerk, evaluated also at time .

Bob: Speak for yourself, my friends are not jerks. We can determine the jerk at the beginning of our new time step if we can remember the value of the acceleration at the beginning of the previous time step, at time , as follows:

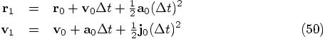
With this information, we can use the same approach as we did with the forward Euler algorithm, but we can go one order higher in the Taylor series expansion for the position and the velocity. The forward Euler method gave us:

but now we can write:

and we can use the value for the jerk given in Eq. (48), without any need for half-steps, such as in the leapfrog or Runga-Kutta methods.

A more direct, but less easily understandable way of writing these equations is to substitute Eq. (48) into Eq. (50), in order to get an equation written purely in terms of the accelerations at different times:

I have seen this expression before, but I did not realize then that it had such a simple explanation in terms of the jerk.

Implementation

Alice: That is an interesting twist, and indeed a very different approach.

Bob: I have implemented this, starting from the file yo8body.rb, and renaming it ms2body.rb. I had to make one modification, though. Previously, we kept track of the number of time steps with a counter nsteps that was a local variable within the method evolve, but now we need that information within the multi-step integrator, which I called ms2.

Alice: Why’s that?

Bob: A multi-step method is not self-starting, since at the beginning of the integration, there is no information about previous steps, simply because there are no previous steps. I solve this by borrowing another 2nd-order method, rk2 for the first time step. But this means that ms2 has to know whether we are at the beginning of the integration or not, and the easiest way to get that information there is to make the number of time steps into an instance variable within the Body class.

What I did was replace nsteps by @nsteps, in the two places where it was used within the method evolve. I made the same change in the method write_diagnostics, which simplified matters, since before we needed to pass nsteps as an argument to that method, and now this is no longer necessary.

Here is the code:


   def ms2(dt)
     if @nsteps == 0
       @prev_acc = acc
       rk2(dt)
     else
       old_acc = acc
       jdt = old_acc - @prev_acc
       @pos += vel*dt + old_acc*0.5*dt*dt
       @vel += old_acc*dt + jdt*0.5*dt
       @prev_acc = old_acc
     end
   end

Alice: So the variable @prev_acc serves as your memory, to store the previous acceleration. At the start, when @nsteps is still zero, you initialize @prev_acc, and during each next step, you update that variable at the end, so that it always contains the value of the acceleration at the start of the previous step.

Bob: Yes. The acceleration at the end of the previous step would be the same as the acceleration at the start of the current step, and that value is stored in the local variable old_acc, as you can see. This allows me to calculate the jerk.

Alice: Or more precisely, the product of jerk and time step , in the form of , since it is only that combination that appears in Eq. (50), which you write in the next two lines of code. Okay, that is all clear!

Bob: When I first wrote this, I was wondering whether it was correct to use this expression for the jerk, since strictly speaking, it gives an approximation for the value of the jerk that is most accurate at a time that is half a time step in the past, before the beginning of the current time step:

But then I realized that the difference does not matter, for a second order integration scheme. In terms of the next time derivative of position, the snap , the leading term of the difference would be:

All this would do is to add a term of order to the last line in Eq. (50), beyond the purview of a second-order scheme.

Alice: Yes, from the point of view of a second-order integrator, the jerk is simply constant, and we can evaluate it at whatever point in time we want.

Bob: And before I forget, there is one more change I made, in the file vector.rb, where I gave an extra method to our Vector class:


   def -(a)
     diff = Vector.new
     self.each_index{|k| diff[k] = self[k]-a[k]}
     diff
   end

Alice: Ah, yes, we only had addition and multiplication methods before, but when you compute the jerk in ms2 it is most natural to use subtraction.

Bob: And for good measure, I added a division method as well:


   def /(a)
     if a.class == Vector
       raise
     else
       quotient = Vector.new           # scalar quotient
       self.each_index{|k| quotient[k] = self[k]/a}
     end
     quotient
   end

Alice: I’m sure that will come in handy sooner or later.

Testing

Bob: Let me show that the two-step integration method works. I’ll start again with a fourth-order Runge-Kutta result, as a check:


 |gravity> ruby integrator_driver2j.rb < euler.in
 dt = 0.01
 dt_dia = 0.1
 dt_out = 0.1
 dt_end = 0.1
 method = rk4
 at time t = 0, after 0 steps :
   E_kin = 0.125 , E_pot =  -1 , E_tot = -0.875
              E_tot - E_init = 0
   (E_tot - E_init) / E_init =-0
 at time t = 0.1, after 10 steps :
   E_kin = 0.129 , E_pot =  -1 , E_tot = -0.875
              E_tot - E_init = 1.79e-12
   (E_tot - E_init) / E_init =-2.04e-12
   1.0000000000000000e+00
   9.9499478009063858e-01  4.9916426216739009e-02
  -1.0020902861389222e-01  4.9748796005932194e-01

Here is what the two-step method gives us:


 |gravity> ruby integrator_driver4a.rb < euler.in
 dt = 0.01
 dt_dia = 0.1
 dt_out = 0.1
 dt_end = 0.1
 method = ms2
 at time t = 0, after 0 steps :
   E_kin = 0.125 , E_pot =  -1 , E_tot = -0.875
              E_tot - E_init = 0
   (E_tot - E_init) / E_init =-0
 at time t = 0.1, after 10 steps :
   E_kin = 0.129 , E_pot =  -1 , E_tot = -0.875
              E_tot - E_init = 9.98e-08
   (E_tot - E_init) / E_init =-1.14e-07
   1.0000000000000000e+00
   9.9499509568711564e-01  4.9917279823914654e-02
  -1.0020396747499755e-01  4.9748845505609013e-01

Less accurate, but hey, it is only a second-order scheme, or so we hope. Let’s check:


 |gravity> ruby integrator_driver4b.rb < euler.in
 dt = 0.001
 dt_dia = 0.1
 dt_out = 0.1
 dt_end = 0.1
 method = ms2
 at time t = 0, after 0 steps :
   E_kin = 0.125 , E_pot =  -1 , E_tot = -0.875
              E_tot - E_init = 0
   (E_tot - E_init) / E_init =-0
 at time t = 0.1, after 100 steps :
   E_kin = 0.129 , E_pot =  -1 , E_tot = -0.875
              E_tot - E_init = 1.57e-09
   (E_tot - E_init) / E_init =-1.79e-09
   1.0000000000000000e+00
   9.9499478370909766e-01  4.9916434810162169e-02
  -1.0020897588268213e-01  4.9748796564271547e-01

Alice: It looks like 2nd order, but can you decrease the time step by another factor of ten?


 |gravity> ruby integrator_driver4c.rb < euler.in
 dt = 1.0e-04
 dt_dia = 0.1
 dt_out = 0.1
 dt_end = 0.1
 method = ms2
 at time t = 0, after 0 steps :
   E_kin = 0.125 , E_pot =  -1 , E_tot = -0.875
              E_tot - E_init = 0
   (E_tot - E_init) / E_init =-0
 at time t = 0.1, after 1000 steps :
   E_kin = 0.129 , E_pot =  -1 , E_tot = -0.875
              E_tot - E_init = 1.63e-11
   (E_tot - E_init) / E_init =-1.86e-11
   1.0000000000000000e+00
   9.9499478012623654e-01  4.9916426302151512e-02
  -1.0020902807186732e-01  4.9748796011702123e-01

Bob: This makes it pretty clear: it is a second-order scheme.

Stepping Back

Alice: You have been talking about multi-step algorithms. How does this relate to predictor-corrector methods?

Bob: It is the predictor part of a predictor-corrector scheme. It is possible to squeeze some extra accuracy out of a multi-step scheme, by using the information that you get at the end of a step, to redo the last step a bit more accurately, `correcting’ the step you have just `predicted.’

In this procedure, you do not increase the order of the integration scheme. So you only decrease the coefficient of the error, not its dependence on time step length. Still, if the coefficient is sufficiently smaller, it may well be worthwhile to add a correction step, in order to get this extra accuracy.

If you would like to know how these methods have been used historically, you can read Sverre Aarseth’s 2003 book Gravitational N-Body Simulations. He implemented a predictor-corrector scheme in the early sixties, and his algorithm became the standard integration scheme for collisional N-body calculations, during three decades. It was only with the invention of the Hermite scheme, by Jun makino, in the early nineties, that an alternative was offered.

Alice: I’d like to see a Hermite scheme implementation, too, in that case. As for the older scheme, is there an intuitive reason that the corrector step would add more accuracy?

Bob: The key idea is that the predictor step involves an extrapolation, while the corrector step involves an interpolation. For the predictor step, we are moving forwards, starting from the information at times and , to estimate the situation at time . For the corrector step, effectively what we do is to go back in time, from back to . Of course, we don’t get precisely back to the same position and velocity that we had before, so the difference between the old and the new values is used to correct instead the position and velocity at time .

Alice: I see. So the main point is that extrapolation is inherently less accurate, for the same distance, as interpolation.

Bob: Exactly.

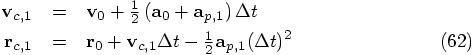
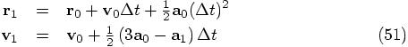
Alice: Let me see whether I really got the idea, by writing it out in equations. The predicted position and velocity are determined as follows:

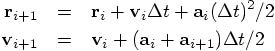
This is the extrapolation part. If we now compute the acceleration and jerk at time using these new values for the position and the velocity, we can take a step backwards.

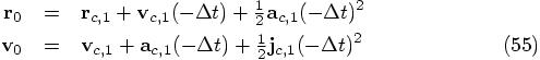
Of course, going back one step will not return us to the same position and velocity that we started with. Instead, we will obtain slightly different values and for the position and velocity at time , as follows:

where and where is the jerk obtained now from the last two values of the acceleration:

which is the same procedure that we used to obtain

but just shifted by one unit in time. Note that our last step has really been an interpolation step, since we are now using the acceleration and jerk values at both ends of the step. In contrast, during the extrapolation step, we used information based on the last two accelerations, both of which are gained at the past side of that step.

Bob: Yes, that is nice, to show that so explicitly.

Wishful Thinking.

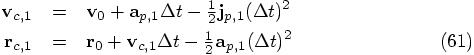
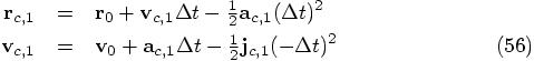
Alice: Now let us engage in some wishful thinking. We start with Eq. (53) with tells us that we return to the wrong starting point, when we go backward in time. Wouldn‘t it be nice if we somehow could find out at which point we should start so that we would be able to go backwards in time and return to the right spot? Let us call these alternative position and velocity at time the corrected values: for the position and for the velocity. If our wish would be granted, and someone would hand us those values, then they would by definition obey the equations:

Wouldn‘t that be nice! In that case, we could form expressions for those desired quantities, by bringing them to the left-hand side of these equations:

Unfortunately, there is no fairy to fulfill our wishes, since the quantities on the right-hand side are not known, as long as the quantities on the left-hand side are not known, since and is the jerk that would be obtained from the last two values of the acceleration, including the as yet unknown corrected one:

However, we do have an approximate way out: we can start with Eq. (56), and try to solve them in an iterative way.

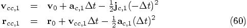
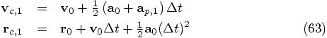
Let us start with the second line in Eq. (56), since that only involves quantities that are freshly recomputed, namely the acceleration and jerk, reserving the first equation for later, since that has a velocity term in the right-hand side. As a first step in our iteration process, we will simply replace the corrected values on the right-hand side by the predicted values:

Having done that, we can do the same trick for our first guess for the corrected value for the position, since now we can use our first guess for the corrected value for the velocity in the right-hand side:

In principle, we could repeat this procedure, plugging the corrected values back into the right-hand sides of these last two equations, getting an even better approximation for the truly corrected position and velocity. If we denote these doubly-corrected values by and , we can obtain those as:

And we can even continue to higher iterations. In practice, however, it is quite likely that most of the improvement will already be gained with the first iteration. So let us implement that first, and see how much more accuracy we will obtain. Let me put those first-iteration equations together:

Bob: Yes, this is exactly the procedure, in all detail!

An Old Friend

Alice: Well, shouldn’t we implement this, too?

Bob: We may as well. It shouldn’t be hard.

Alice: So? You look puzzled, still staring at the last set of equations. Something wrong?

Bob: I’m bothered by something. They just look too familiar.

Alice: What do you mean?

Bob: I’ve seen these before. You know what? I bet these are just one way to express the leapfrog algorithm!

Alice: The leapfrog? Do you think we have reinvented the leapfrog algorithm in such a circuitous way?

Bob: I bet we just did.

Alice: It’s not that implausible, actually: there are only so many ways in which to write second-order algorithms. As soon as you go to fourth order and higher, there are many more possibilities, but for second order you can expect some degeneracies to occur.

Bob: But before philosophizing further, let me see whether my hunch is actually correct. First I’ll get rid of the predicted value for the jerk, using Eq. (54) in order to turn Eq. (61) into expressions only in terms of the acceleration:

And hey, there we have our old friend the leapfrog already!

Alice: I guess your friendship with the frog is stronger than mine. Can you show it to me more explicitly?

Bob: So that you can kiss to frog?

Alice: I’d rather not take my chances; I prefer to let it leap.

Bob: If you plug the expression for in the first line of Eq. (62) back into the right-hand side of the second line, you get:

And this is exactly how we started to implement the leapfrog, way back when, with Eq. (), which we wrote as:

Alice: I see, yes, no arguing with that. Good! This will save us a bit of work, since now we don’t have to implement a corrected version of your method ms2, given that we already have it in the code, in the form of the leapfrog method.

Bob: Yes, apart from one very small detail: if we were to write a corrected version of ms2, then the very first step would still have to be a Runge-Kutta step, using rk2. From there on, we would exactly follow the same scheme as the leapfrog method.

But I agree, no need to implement that.

Alice: And guess what, we got a bonus, in addition!

Bob: A bonus?

Alice: Yes, there is no need for higher iterations, since we have exactly and . This is because the leapfrog is time reversible as we have shown before.

Bob: Right you are, how nice! And I’m afraid this is just a fluke for the second-order case.

Alice: Yes, something tells me that we won’t be so lucky when we go to higher order.

Previous ToC Up Next